
【中國科學報】孫昌璞憶楊振寧:頂級理論物理學家的3大貢獻,他幾乎都做到了
| 來源:中國科學報【字號:大 中 小】
“要理解一位偉大的科學家,你不能只把他當成科學家,你要把他當成一個真真實實的人來看。這樣你就會發現,人們對他的一些評價,過于簡單了。”
楊振寧去世后,他與葛墨林院士聯合培養的博士研究生,著名理論物理學家、中國科學院院士孫昌璞接受《中國科學報》專訪時如是說。

孫昌璞(左)與楊振寧先生和葛墨林先生(右)的合影。
20世紀90年代,孫昌璞來到美國紐約州立大學石溪分校,在楊振寧指導下開展博士后研究。楊振寧一生只收過寥寥幾名學生,他作為指導老師署名的博士生論文,大概不會超過10篇,其中一篇就是孫昌璞的。
在孫昌璞看來,楊振寧固然是天才,同時又是天才中少有的一種——他善于共情和體諒他人,是不折不扣的理想主義者,卻又對不夠完美的現實充滿理解和同情。
《中國科學報》:2013年,楊振寧回國定居清華園時,寫了一首《歸根詩》,其中有一句“學子凌云志,我當指路松”。你也曾說,他是通過指引一個個人、一件件事、一個一個研究方向,一步一步推動中國物理學進步的。能否詳細講講,楊振寧是一棵怎樣的“指路松”?
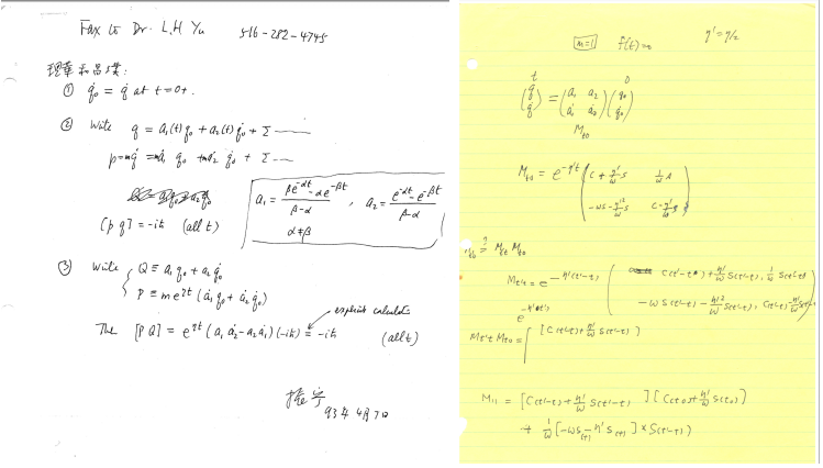
孫昌璞:1992年,我來到紐約州立大學石溪分校。楊先生給我的第一個題目是宏觀系統的量子效應如何受量子耗散的影響。今年獲得諾貝爾物理學獎的工作就和這個題目直接相關。但在當時,這并不是一個熱門領域,甚至都不算一個熱點問題,只有極少數科學家在做,所以直到今天,準確理解這個問題和今年諾貝爾物理學獎的工作也需要一些努力。

楊振寧(左)和孫昌璞關于宏觀量子系統耗散問題的研究手稿。
此外,他還給了我幾個研究方向,包括量子糾纏與鬼成像相關問題、量子光學、冷原子及玻色-愛因斯坦凝聚研究和高溫超導模型等,如今每個方向都已開花結果。當時楊先生預言玻色-愛因斯坦凝聚和冷原子研究會在未來20年有很好的發展,事實上直到今天,這個領域在近30年間都是物理學的主流方向。他對科學趨勢的深邃洞察,至今看來仍然令人震撼。
在石溪,經常有年輕人來找他學術“問路”。對此,楊先生的思考角度是“如果他是我的孩子,我要告訴他做什么”。
有些人想在美國從事高能物理研究,楊先生往往并不推薦。當時我很不理解,還問他為什么打擊人家的積極性。楊先生告訴我,像高能物理這樣的領域,在美國很不好就業。這個領域完全依賴高能加速器,但只要加速器的原理沒有出現變革,經費支出就會非常之高,是百億美元級別的。而如果一個基礎研究領域高度依賴經費投入,就很難發展。他認為,如果想做高能物理,就要去研究加速器原理,從根本上打破這個領域的瓶頸。后來,他有兩個杰出的學生(趙武和余理華)去做加速器物理研究,都取得了很好的發展。
楊先生總是根據每個學生的特點和實際需要來指導研究方向。他曾對一名學生說,“未來生物物理學可能會有大的發展,雖然我不做這個,但你可以去做”。后來這名學生確實在生物物理學領域做得很成功。
《中國科學報》:楊振寧如此熱心于為年輕人指路,為何在他漫長的學術生涯中,帶的學生卻似乎并不多呢?
孫昌璞:的確如此,楊先生親自帶過的學生大概只有七八名,我想博士論文上指導老師那欄寫著他名字的,可能不超過10篇。

孫昌璞博士學位論文封面。
我曾問過他原因,他說,“在理論物理學領域,年輕人的成長需要從一些具體問題著手,而我也是親自動手做題目,沒有那么多好的題目給大家”。
楊先生曾師從美國“氫彈之父”泰勒,這是一位很有個性的大科學家,一天能有10個想法,其中有9個半都是錯的。這無損于他在學術上的成就,但他如果以這樣的風格給學生指路的話,大概就會有些問題。而楊先生的風格則體現了東方人的審慎,他會擔心如果給的題目不好,會誤導學生。我能感到他指導我的科學問題,自己都已經很深入地思考過了。
《中國科學報》:楊振寧對高能物理的態度一直是學術界的爭議話題,作為熟悉他的人,你如何理解他在這個問題上的堅持?
孫昌璞:現在很多人對楊先生有誤解,認為他是反對高能物理的。但要知道,楊先生一生中有2/3的時間在做高能物理,另外1/3的時間在做統計物理。
顯然,他并不認為這個領域不重要,但他會很務實地考慮問題。比如,當年中國要造一個很大的加速器,楊先生反對的理由就很簡單,也很直率,他認為加速器與國防科技等剛需領域不同,是短時間內無法得到應用的基礎科學。而當時中國的經濟百廢待興,還處于比較困難的時期,比起花那么多錢建造加速器,先照顧好老百姓吃飯的問題更要緊。而且這樣一個巨大的科學工程需要很多人的付出,那么,作為某一個具體的人,就很難在這個領域成名,所以他也不太推薦個人去做。
這就是楊先生,他一生都在追求最優美的科學,但同時也在反復掂量實踐這種科學要付出的代價。理想主義和現實主義在他身上是共存的,但也時常碰撞出矛盾——自然界最簡單、最底層的規律最漂亮,但要捕捉這個規律要花很多很多錢,這時候該怎么辦呢?
《中國科學報》:楊振寧的學術洞察力,與他所推崇的學術品味是否有關?
孫昌璞:楊先生能看得這么遠,正是因為他的學術品味。他稱贊狄拉克(量子力學奠基者之一)的文章是“秋水文章不染塵”,干干凈凈,直指本質。他對自己和學生的文章也是這樣要求的。此外,他還很喜歡傅山的一句話“寧拙毋巧”,追求大道至簡的樸拙之美,所以他的想法總是很絕妙,但用的方法往往很簡單。
其實自然演化的規律也是這樣,既高效又經濟,至簡至美。因此,楊先生用這種品味指導自然科學的研究,也是恰如其分的。
《中國科學報》:在物理學界,像楊振寧這樣既有深刻的學術洞察力,又愿意利用這種洞察力提攜后學、為年輕人指路的科學家多嗎?
孫昌璞:我想這的確是他非同尋常的一點。楊先生從年輕時就很樂于分享。他最著名的成果之一——楊-米爾斯理論,是他32歲時遇到一個名叫米爾斯的博士后,很熱情地把自己的想法與他共享,一起做出來的。
黃昆先生和美國著名物理學家、數學家弗里曼·戴森都曾說楊先生是一個“正常的天才”,這個說法后來流傳很廣。相比很多特立獨行的天才,楊先生是一個樂于并善于共情他人的人,能看到別人的難處。他曾讓我去找一位著名數學家討論我的一篇文章。對方一開始也很看好文中解決的問題,但過了兩天又發現這個問題沒那么重要了。在這篇文章里,我證明了9個引理才得到一個中心定理,但我當時有些喪氣,準備放棄發表它,楊先生大概看出了我的情緒,說數學家的視角和物理學家有差異。我模糊地記得是他在法國開會期間專門打電話告訴我,鼓勵我把它發表出來。后來這篇文章還是有一點影響的。
我到美國時,楊先生已經70歲了,他還在堅持親自手推公式。我經常開玩笑說,我向楊先生學習,要做“手搓”的科研。我相信如果他不是在長期具體的實踐中形成對各個學科方向的認知,他的洞察和指引也不會有這樣的生命力。

楊振寧指導孫昌璞推導公式

孫昌璞的女兒給楊振寧背誦“紅豆生南國”。受訪者供圖
《中國科學報》:在你看來,楊振寧在物理學史乃至科學史上是一個怎樣的存在?這個問題會不會比較難回答?
孫昌璞:我倒覺得不難回答。頂級理論物理學家的貢獻大概能分成3種類型:第一種,發現了非常基本的規律,比如牛頓定律、麥克斯韋方程、量子力學;第二種,預言了一些新的物質或重要物理現象;第三種,影響了物理學以外的其他學科。
我想楊先生至少占了兩種:他的楊-米爾斯方程是當代物理學中可以比肩麥克斯韋方程的奠基性工作,繼續發展下去,有其他多位科學家據此建立了基本粒子的標準模型,使得諸多理論預言被實驗證實;他和李政道先生合作發現了弱相互作用下互為鏡像的粒子運動不對稱的基本規律,很快被吳健雄等人的實驗證實;他在統計物理學精確解模型和非阿貝爾規范場中的工作引起了數學新領域的突破,如量子群和四維流形分類,很多菲爾茲獎獲得者的工作都與楊先生有關。
頂級理論物理學家的3類重大貢獻,楊先生幾乎都做到了。與愛因斯坦以一己之力開創并完善狹義和廣義相對論等劃時代工作相比,楊先生應該還有差距,但他毫無疑問可以比肩20世紀其他頂級的少數幾位理論物理學家。